【目的】水厂生产尾水主要包括沉淀池排泥水和滤池反冲洗水,水量占水厂产水量的6%~10%,通过分析生产尾水的水质特征并探讨其直接回用技术,可为水厂生产尾水回用提供技术参考,对推进节水型社会建设具有重要的现实意义。【方法】文章采用浓缩池上清液回用中试装置,系统研究了浓缩池上清液的水质特征及浓缩池上清液直接回用(回用比为3:1)对原水、炭砂滤池出水、沉淀池排泥水及炭砂滤池反冲洗水水质的影响。【结果】浓缩池上清液浑浊度<6 NTU,显著低于原水浑浊度,氨质量浓度为0.04~0.12mg/L,与原水氨含量几乎相当,高锰酸盐指数与原水相当,整体低于4mg/L,菌落总数为500~1000CFU/mL,显著高于原水,铝盐含量高出原水中铝盐含量约10倍,整体为0.04~0.12mg/L,三氯甲烷、二氯乙酸和二氯乙腈生成势均低于原水。浓缩池上清液直接回用后,原水浑浊度、三氯甲烷、二氯乙酸和二氯乙腈生成势均略微下降,氨含量变化不明显,高锰酸盐指数略微升高,铝盐和菌落总数显著升高,表明铝盐和菌落总数是浓缩池上清液回用亟需重点关注的水质指标。基于中试的连续运行研究,发现浓缩池上清液直接回用对炭砂滤池出水水质无明显影响,且浓缩池上清液直接回用不会导致铝盐在沉淀池排泥水和炭砂滤池反冲洗水中富集。【结论】这说明浓缩池上清液可在自来水处理过程中直接回用。
水厂在运行过程中会产生占水厂供水量6%~10%的生产尾水,其中以沉淀池排泥水和滤池反冲洗水为主。现有水厂多将生产尾水经浓缩池浓缩处理后取其上清液外排至河道,造成了巨大的水资源浪费。随着水资源短缺的加剧和城市节水要求的提升,国内陆续开展水厂浓缩池上清液回用研究,合理利用浓缩池上清液,将其回用至水处理工艺中。这具有重要的社会效益和经济效益。
排泥水是沉淀池中沉降下来的含有污染物较多的泥水,不仅含有大量的悬浮颗粒,而且还含有相对高浓度的有机组分和氢氧化物。排泥水的水质性质决定了其沉降性能,如排泥水含泥量越大,其中胶体颗粒越拥挤,将难以在浓缩池中通过重力浓缩。滤池主要用于进一步去除絮凝沉淀后水中的细小颗粒物及残余絮体,随着截留物质在滤池内累积,滤层水头损失增大,因此,需要定期反冲洗滤池。滤池反冲洗水的污染物质主要包含滤池滤料截留的固体颗粒物、金属离子、有机污染物和微生物等。可见,沉淀池排泥水和滤池反冲洗水进入浓缩池后将导致浓缩池上清液水质情况变复杂,浓缩池上清液回用至水处理工艺中需要重点关注水质指标的变化,为水厂生产尾水回用提供理论依据。
研究指出,仅回用滤池反冲洗水时,回用比为5%~10%有利于降低水中颗粒的表面电荷,从而加强混凝效果;另有研究指出,直接回用滤池反冲洗水时,回用水的浑浊度、氨、高锰酸盐指数等含量均无明显变化;吴灿东对南方低浑浊度的沉淀池排泥水直接回用,发现控制适当的排泥水含固率可以有效提高絮凝剂的网捕卷扫作用,从而强化混凝效果;Xu等研究得出了类似结果,研究还表明排泥水中有机物和细菌总数较多,对沉淀池排泥水的回用比宜控制在3%以内。以上结果表明,合理控制沉淀池排泥水和滤池反冲洗水的回用比,将对自来水处理过程水质控制起积极作用。浓缩池上清液是将沉淀池排泥水和滤池反冲洗水收集后经过调质、浓缩、脱水和处置后得到的上清液,其水质与沉淀池排泥水和滤池反冲洗水的不同主要体现在浑浊度较低、金属离子含量较高、有机物含量与原水相当、菌落总数较高等方面。然而,浓缩池上清液直接回用及其回用对原水和自来水处理工艺的影响研究尚处于起步阶段。
因此,本研究通过建立浓缩池上清液回用中试装置,考察了浓缩池上清液的浑浊度、氨、高锰酸盐指数、菌落总数、铝盐、典型消毒副产物(三氯甲烷、二氯乙酸和二氯乙腈)生成势等水质特征,基于浓缩池上清液连续直接回用(回用比为3:1)试验,系统研究了浓缩池上清液回用对原水、滤池出水、排泥水和反冲洗水水质的影响。研究结果将对自来水生产尾水安全回用提供科学依据。
中试试验装置位于某以长江水为水源的水厂。中试流程图如图1所示,主要工艺流程为预臭氧、混凝、沉淀、炭砂滤池过滤、斜管浓缩及上清液回流。中试装置柱体或池体均采用有机玻璃材质,连接管路均采用硬质聚氯乙烯(UPVC)材质。中试装置的产水量为24m3/d,预臭氧投加量为1.0mg/L,混凝剂采用聚合氯化铝(PAC),投加量为30mg/L。

注:PLC为可编程逻辑控制器。
图1 浓缩池上清液回用中试试验装置
试验设置斜管沉淀池排泥周期为12h,排泥时长为2min。炭砂滤柱设置2根,1用1备,炭床高度为1.5m,上层为活性炭滤料,下层为石英砂滤料,滤柱内径为40cm。炭砂滤柱每24h反冲洗1次,反冲洗方式为气冲+水冲方式,气冲强度为15.95 L/(s·m2),冲洗时长为3min,进气量为2L/s,水冲强度为13.70L/(s·m2),冲洗时长为10min,进水量为1.72L/s。斜管浓缩池中收集斜管沉淀池的排泥水和炭砂滤柱的反冲洗水,中试装置实际运行过程中浓缩池起到了同步调节水质水量与浓缩的作用。经测算,中试装置斜管沉淀池排泥水量约为0.8m3/d,炭砂滤池反冲洗水量约为1.0m3/d,经浓缩池重力浓缩后的上清液水量约为1.6m3/d。浓缩池上清液储水桶在接收中试装置产生的浓缩池上清液的同时,通过外接管路连接至水厂浓缩池以补给中试研究不足的回用上清液水量。上清液通过水泵回流至进水端,与原水在桶内进行完全混合后进入后续水处理单元。中试装置设置PLC自控柜,可实现全流程自动运行。
1.2 水样的采集和保存
中试装置各工艺单元均设置采样点,共采集包括原水、滤后水、滤池反冲洗水、沉淀池排泥水、浓缩池上清液、上清液与原水混合水6组水样。中试装置首先在浓缩池上清液未回用条件下连续运行15d,然后在浓缩池上清液与原水回用比为3:1下连续运行15d,每日采样存放于棕色试剂瓶中,低温保存并及时进行水质测定,所有水样均在3d内完成检测。
水厂工艺流程如图2所示,浓缩池的来水主要包括新厂沉淀池排泥水、新厂砂滤池反冲洗水、新厂活性炭滤池反冲洗水、老厂沉淀池排泥水和老厂炭砂滤池反冲洗水。新厂和老厂的处理水量分别为90万m3/d和30万m3/d,浓缩池上清液的产生水量为8万~9万m3/d。为研究水厂浓缩池上清液及其来源水的水质情况,采集了原水及水厂中浓缩池上清液、新厂沉淀池排泥水、新厂砂滤池反冲洗水、新厂活性炭滤池反冲洗水、老厂沉淀池排泥水和老厂炭砂滤池反冲洗水共7组水样。水样检测项目包括浑浊度、高锰酸盐指数、氨、菌落总数、铝盐和典型消毒副产物(三氯甲烷、二氯乙酸、二氯乙腈)生成势。浑浊度采用HACH TL23型浊度仪测定;高锰酸盐指数采用高锰酸钾滴定法测定;氨含量采用纳氏试剂分光光度法测定;菌落总数采用滤膜法测定;铝盐含量采用Agilent 5110 DVD型电感耦合等离子发射光谱仪测定;消毒副产物生成势试验在50mL无顶空螺旋盖琥珀玻璃瓶中进行,40mL水样加入200μmol/L次氯酸钠溶液后置于(25±1)℃黑暗条件下反应24h,测量余氯后采用抗坏血酸终止氯反应。三氯甲烷采用高效气相色谱仪(Agilent 7890B)顶空进样测定,色谱柱采用HP-5 (30mm ×0.25mm×0.1μm)毛细管柱,进样孔温度为200℃,分流比为5:1,柱箱温度为40℃,保持11min,柱内流量为2mL/min。二氯乙酸测定前,先用甲基叔丁基醚液液萃取,再采用甲醇衍生化,采用高效气相色谱/质谱联用仪(Thermo DSQ2)测定。二氯乙腈测定前,先用甲基叔丁基醚液液萃取,然后采用气相色谱/电子捕获检测法(GC/ECD,7890B,Agilent)测定,检测参数如下:色谱柱型号为RTX-5(30m×0.25mm×0.25μm);GC柱温升温程序为30℃保持10min,后以14℃/min的升温速率从30℃升高至72℃并保持1min,再以40℃/min的升温速率从72℃升高至200℃并保持2min;进样器和检测器温度分别设定为200℃和300℃,载气(N2)流速为3mL/min,进样体积为2μL。
2 结果与讨论
2.1 水厂浓缩池上清液及其来水水质特性
2.1.1 原水及浓缩池上清液水质特性
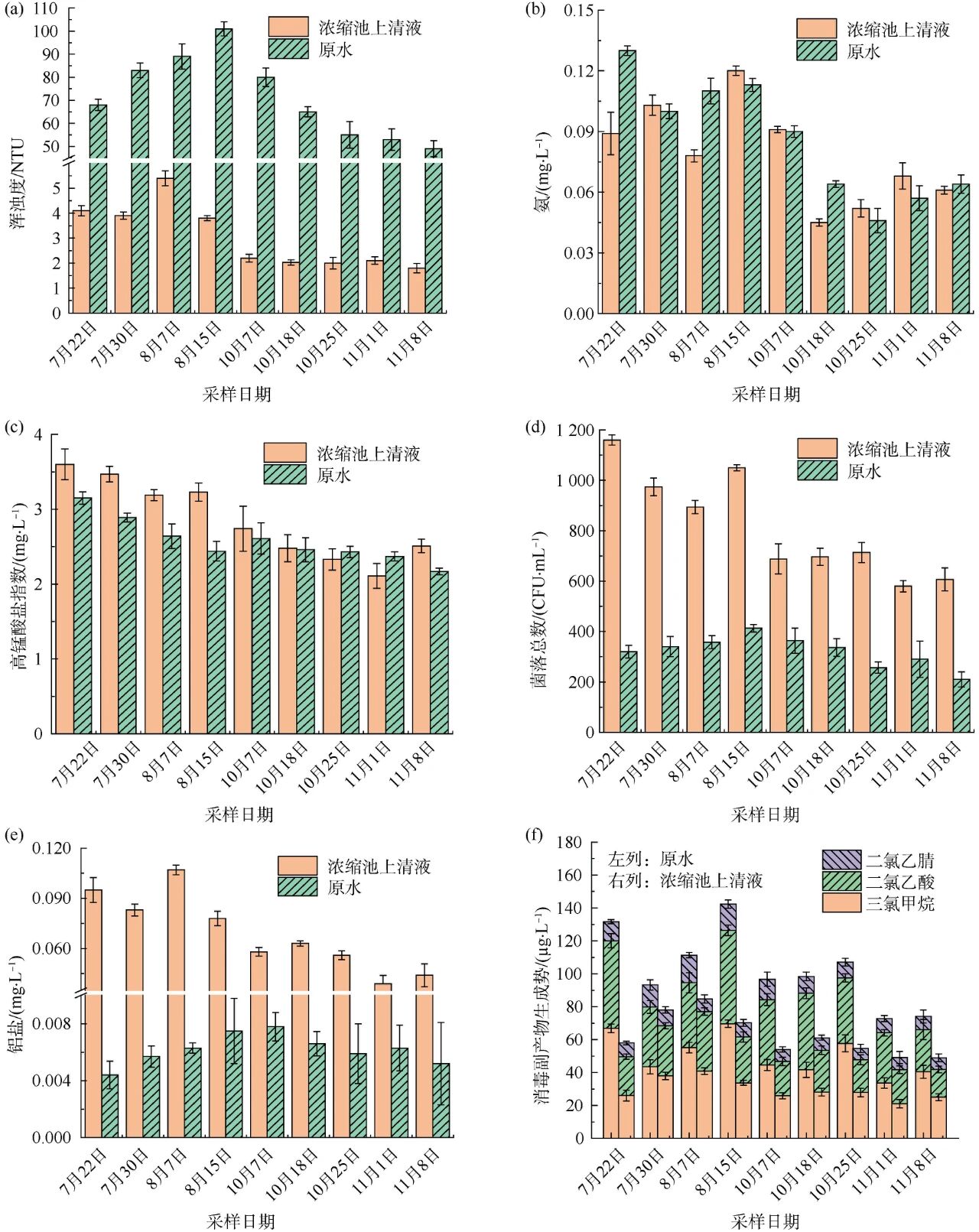
对水厂浓缩池上清液进行了连续2个季度的水质跟踪检测,分别在2023年夏季7月—8月共4次取样,秋季10月—11月共5次取样,浓缩池上清液与原水的浑浊度、氨、高锰酸盐指数、菌落总数、铝盐及部分消毒副产物生成势的对比结果如图3所示。浓缩池上清液浑浊度变化较平稳,整体上均小于6 NTU,秋季相对于夏季略低。与原水相比,浓缩池上清液浑浊度较低,可能由于浓缩池上清液在投加少量混凝剂后,经絮凝沉淀调质,其沉降性能优异。浓缩池上清液氨质量浓度为0.04~0.12mg/L,部分时期上清液氨含量高于原水,分析原因可能是浓缩池中污泥累积,浓缩池中刮泥机械等设备将存在污泥沉积死角,污泥堆积时间过长会导致污泥中有机物厌氧释放氨。浓缩池上清液的高锰酸盐指数呈现夏季高、秋季低的趋势,与原水的高锰酸盐指数相当,均小于4mg/L,符合《地表水环境质量标准》(GB 3838—2002)规定的Ⅱ类水质进水标准。浓缩池上清液菌落总数为500~1000CFU/mL,整体呈现夏季高、秋季低的趋势,浓缩池上清液的菌落总数明显高于原水的菌落总数,这说明浓缩池上清液回用时需要关注菌落总数对水质的影响。水处理过程中加入铝盐混凝剂,将导致沉淀池排泥水中铝盐沉降而进入生产尾水中。因此,浓缩池上清液中铝盐含量高出原水中铝盐含量约为10倍,检测周期内,浓缩池上清液中铝盐质量浓度为0.04~0.12mg/L,虽然低于我国《生活饮用水卫生标准》(GB 5749—2022)规定的饮用水中铝盐质量浓度不得超过0.2mg/L的限制标准,但从长远来看,上清液回用过程中铝盐是否会富集导致超标需要重点关注。消毒副产物生成势代表水中有机前体物的含量,比较浓缩池上清液及原水中3种典型消毒副产物(三氯甲烷、二氯乙酸和二氯乙腈)的生成势。浓缩池上清液的三氯甲烷、二氯乙酸和二氯乙腈生成势均比原水低,可能是滤池反冲洗导致部分活性炭进入浓缩池中,活性炭在浓缩池中对消毒副产物前体物起到吸附和助沉的作用。
水厂浓缩池上清液来水的夏季和秋季的平均水质情况如表1所示。浑浊度上表现出滤池反冲洗水普遍高于沉淀池排泥水的现象,可能由于滤料反冲洗废水中除了含有大量有机或无机杂质外,还存在泄漏的活性炭或石英砂滤料。沉淀池排泥水和滤池反冲洗水的氨质量浓度为0.4~0.5mg/L,高锰酸盐指数质量浓度为2.0~3.7mg/L。滤池反冲洗水的菌落总数高于沉淀池排泥水,说明滤池反冲洗可能出现微生物泄漏的风险。沉淀池排泥水中铝盐含量明显高于滤池反冲洗水,这是因为絮凝过程中投加的铝盐混凝剂在沉淀池中随絮体沉降进入排泥水中。滤池反冲洗水中典型消毒副产物的生成势明显高于沉淀池排泥水,一方面,由于过滤相比于沉淀截留了更多有机前体物,另一方面,也可能是滤池反冲洗带出了微生物和微生物代谢产物,微生物及其代谢产物是典型消毒副产物的一类重要前体物。由此可见,沉淀池排泥水是浓缩池上清液中铝盐的主要来源,而滤池反冲洗水则是浓缩池上清液中浑浊度、菌落总数和典型消毒副产物前体物的主要来源。
将水厂浓缩池上清液按3:1 回用比直接回用15d,考察了其对原水水质的影响,结果如图4所示。回用前原水浑浊度为46~93 NTU,回用后原水浑浊度出现下降,可能由于浑浊度较低的浓缩池上清液回用对原水起到了稀释作用。由于浓缩池上清液与原水中氨含量相差较小,浓缩池上清液回用对原水氨含量影响不大。回用后原水的高锰酸盐指数平均质量浓度由1.9mg/L升高至2.3mg/L,这与浓缩池上清液的高锰酸盐指数高于原水有关。浓缩池上清液回用后,原水的菌落总数平均值由306CFU/mL升高至445CFU/mL,铝盐平均质量浓度由0.009mg/L升高至0.046mg/L。因此,需要重点关注浓缩池上清液回用对滤池出水中菌落总数及铝盐的影响。浓缩池上清液回用后原水的典型消毒副产物(三氯甲烷、二氯乙酸和二氯乙腈)总生成势平均质量浓度为73.8μg/L,略低于回用前的点生成势(91.3μg/L),说明浓缩池上清液回用对原水的消毒副产物生成势具有一定的改善作用。
水厂浓缩池上清液直接回用对滤池出水水质的影响如图5所示。浓缩池上清液回用前滤池出水的平均浑浊度为0.198 NTU,回用后滤池出水平均浑浊度为0.199 NTU,说明浓缩池上清液直接回用对滤池出水浑浊度几乎没有影响。回用前滤池出水氨含量波动较明显,但回用后滤池出水相对稳定,且氨含量均远低于《生活饮用水卫生标准》(GB 5749—2022)规定的0.5mg/L限值,说明浓缩池上清液直接回用对滤池出水氨没有影响。浓缩池上清液回用后滤池出水高锰酸盐指数由0.86mg/L轻微上升至0.94mg/L,但仍远低于《生活饮用水卫生标准》(GB 5749—2022)规定的限值(3.0mg/L)。尽管浓缩池上清液中菌落总数显著高于原水,但回用前后滤池出水中菌落总数均维持在较低的检出水平(接近于0),表明浓缩池上清液直接回用不会对滤池出水菌落总数造成影响。浓缩池上清液回用前滤池出水的铝盐平均质量浓度为0.041mg/L,回用后滤池出水铝盐质量浓度上升至0.047mg/L,滤池出水中铝盐含量在浓缩池上清液回用的1~5d内呈现波动趋势,但从第6d开始变得平稳,且滤池出水铝盐质量浓度远小于《生活饮用水卫生标准》 (GB 5749—2022)规定的限值(0.2mg/L),说明浓缩池上清液直接回用不会导致滤池出水铝盐含量超标。与浓缩池上清液直接回用可降低原水的典型消毒副产物生成势结论类似,浓缩池上清液直接回用后,滤池出水中典型消毒副产物生成势从39.1μg/L降至31.3μg/L,说明上清液回用可改善滤池出水的典型消毒副产物生成势。
(1)浓缩池上清液浑浊度变化平稳,整体上均小于6 NTU,显著低于原水浑浊度,氨质量浓度在0.04~0.12mg/L,部分时期上清液氨含量高于原水,高锰酸盐指数呈现夏季高、秋季低的趋势,与原水的高锰酸盐指数相当,均小于4mg/L,菌落总数明显高于原水,整体呈现夏季高、秋季低的趋势,铝盐含量高出原水中铝盐含量约10倍,整体为0.04~0.12mg/L,三氯甲烷、二氯乙酸和二氯乙腈生成势均低于原水。
(2)浓缩池上清液在回用比为3:1条件下直接连续回用后,原水浑浊度下降,氨含量变化不明显,高锰酸盐指数略微升高,菌落总数和铝盐含量明显升高,消毒副产物生成势略微下降。浓缩池上清液直接回用对滤池出水浑浊度、氨、高锰酸盐指数、菌落总数、铝盐、典型消毒副产物生成势等水质指标无明显影响。(3)浓缩池上清液在回用比为3:1条件下,直接回用不会导致浑浊度、高锰酸盐指数、氨、菌落总数、典型消毒副产物生成势等指标在沉淀池排泥水和滤池反冲洗水中升高,也不会造成铝盐在沉淀池排泥水和滤池反冲洗水中富集。